드디어 시작 되었다.... 메이플 자이
금수저 청약이라고 들리는 그 단지
청약공고가 떠서 한번 꼼꼼히 살펴보자!!!
2023년 하반기부터 공고가 언제 뜨는지에 대해
아주 관심이 많았던 단지들 중에
메이플 자이가 이제 공고가 올라왔다 ㅎㅎ


위치는 서울특별시 서초구 잠원동 60-3일원 , 메이플자이
공급규모는 총 세대3,307 ( 조합2,921 , 임대195 , 보류지29세대 포함 ) 중 일반분양 162 세대
입주시기는 2025년 6월 예정
위치가 아주 죽인다~!
강남 반포자이 위~!~! 말 다했다 진짜... ㅋㅋㅋ

조감도도 완전 럭셔리 하고
옥상에 스카이라운지가 있다 ㅎㅎ 한강을 바라보며
한잔 하면 이세상 살맛나겠다 ㅋㅋㅋㅋㅋㅋ
커뮤니티 시설도 아주 고급지게 들어가네 ~~


가정내에 음식물쓰레기 이송설비가 있다~!~!
(음쓰봉투 손가락으로 들고 주변세대 피해안줄 수 있겠다 ~~)
주차유도시스템, 전기차 충전기도 넉넉하고~
다양한 첨단 편의 시스템이 들어간다 ㅎㅎ

이번 청약은 아무리 경기가 안좋다할지라도 많은 경쟁률이 예상된다 ㅎㅎ
청약 요건을 보면 서울시2년 이상 거주자 우선
청약 2년이상, 분양가 상한제로 합리적인 가격이라고 하네 ㅎㅎ


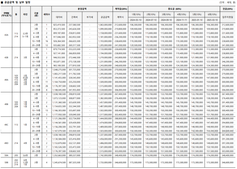
공급금액은 43타입 약 11억, 49타입 약 15억 59타입 약 17억정도 되네 ~~!
하지만 59타입은 총 6세대임을 잘 인지해야한다 ㅎㅎ

주변에 비슷한 타입의 매매가격은 거의 20억이 넘는다 ㅎㅎ
이건 뭐 당첨되면 차익이 어마어마할 것이라고 보인다~!
주변전세도 12억 이상 하기 때문에 아주 괜찮을 거 같다 ㅎㅎ


특별공급 세대수 잘 확인하고~
어디가 청약당첨 가능성이 높은지 머리를 굴려보자...

이번에는 60타입이하 공급이라 추첨제가 60%나 된다 ㅎㅎ
서울에 거주하면 예치금액도 300만원이상 있으면 된다 ㅎㅎ

메이플자이 홈페이지에서 이렇게 편하게 안내하고 있어
참고해봐도 되지만 중요한건 무조건 공고문을 우선적으로 봐야한다!!!


청약 신청은
특별공급 `24.02.05(월) 09:00 ~ 17:30까지
일반공급 1순위 해당지역 `24.02.06(화) 09:00 ~ 17:30까지
일반공급 1순위 기타지역 `24.02.07(수) 09:00 ~ 17:30까지
일반공급 2순위 `24.02.08(목) 09:00 ~ 17:30까지
결과는 `24.02.16(금) 청약홈에서 개별조회~!!~~!@!!@@!@


다들 관심있는 청약 단지기 때문에
높은 경쟁률이 있을거같지만 추첨60%라
누가 될지는 아무도 모른다 ㅎㅎ
다들 부자되길 바래요~!!~~!~!

'⁌ 재테크 ⁍' 카테고리의 다른 글
| 청약 정보(송내역 푸르지오 센트비엔) (0) | 2024.02.20 |
|---|---|
| 청약 정보(오산 세교지구 Cd-1블록 호반써밋 라테라스(무순위 1차)) (0) | 2024.02.20 |
| 청약 정보(서울 청년신혼부부매입임대리츠주택 재임대 예비입주자 모집(관악구)) (1) | 2024.02.07 |
| 청약 정보(4차 사전청약 선택형(6년) 공공임대주택 동탄2 C14블록) (0) | 2024.02.07 |
| 청약 정보((무순위)고양향동 S-1BL 10년 공공임대주택리츠 예비입주자 모집) (0) | 2024.02.07 |